
Part from the difficulty discussed in Section 21, there is a second fundamental difficulty attending classical celestial mechanics, which, to the best of my knowledge, was first discussed in detail by the astronomer Seeliger. If we ponder over the question as to how the universe, considered as a whole, is to be regarded, the first answer that suggests itself to us is surely this: As regards space (and time) the universe is infinite. There are stars everywhere, so that the density of matter, although very variable in detail, is nevertheless on the average everywhere the same. In other words: However far we might travel through space, we should find everywhere an attenuated swarm of fixed stars of approrimately the same kind and density.
This view is not in harmony with the theory of Newton. The latter theory rather requires that the universe should have a kind of centre in which the density of the stars is a maximum, and that as we proceed outwards from this centre the group−density of the stars should diminish, until finally, at great distances, it is succeeded by an infinite region of emptiness. The stellar universe ought to be a finite island in the infinite ocean of space. 1)
This conception is in itself not very satisfactory. It is still less satisfactory because it leads to the result that the light emitted by the stars and also individual stars of the stellar system are perpetually passing out into infinite space, never to return, and without ever again coming into interaction with other objects of nature. Such a finite material universe would be destined to become gradually but systematically impoverished.
In order to escape this dilemma, Seeliger suggested a modification of Newton's law, in which he assumes that for great distances the force of attraction between two masses diminishes more rapidly than would result from the inverse square law. In this way it is possible for the mean density of matter to be constant everywhere, even to infinity, without infinitely large gravitational fields being produced. We thus free ourselves from the distasteful conception that the material universe ought to possess something of the nature of a centre. Of course we purchase our emancipation from the fundamental difficulties mentioned, at the cost of a modification and complication of Newton's law which has neither empirical nor theoretical foundation. We can imagine innumerable laws which would serve the same purpose, without our being able to state a reason why one of them is to be preferred to the others ; for any one of these laws would be founded just as little on more general theoretical principles as is the law of Newton.
Next:Footnotes
1) Proof — According to the theory of Newton, the number of "lines of force" which come from infinity and terminate in a mass m is proportional to the mass m. If, on the average, the Mass density p0 is constant throughout tithe universe, then a sphere of volume V will enclose the average man p0V. Thus the number of lines of force passing through the surface F of the sphere into its interior is proportional to p0 V. For unit area of the surface of the sphere the number of lines of force which enters the sphere is thus proportional to p0 V/F or to p0R. Hence the intensity of the field at the surface would ultimately become infinite with increasing radius R of the sphere, which is impossible.
Relativity: The Special and General Theory Part III: Considerations on the Universe as a WholeBut speculations on the structure of the universe also move in quite another direction. The development of non−Euclidean geometry led to the recognition of the fact, that we can cast doubt on the infiniteness of our space without coming into conflict with the laws of thought or with experience (Riemann, Helmholtz). These questions have already been treated in detail and with unsurpassable lucidity by Helmholtz and Poincaré, whereas I can only touch on them briefly here.
In the first place, we imagine an existence in two dimensional space. Flat beings with flat implements, and in particular flat rigid measuring−rods, are free to move in a plane. For them nothing exists outside of this plane: that which they observe to happen to themselves and to their flat " things " is the all−inclusive reality of their plane. In particular, the constructions of plane Euclidean geometry can be carried out by means of the rods e.g. the lattice construction, considered in Section 24. In contrast to ours, the universe of these beings is two−dimensional; but, like ours, it extends to infinity. In their universe there is room for an infinite number of identical squares made up of rods, i.e. its volume (surface) is infinite. If these beings say their universe is " plane," there is sense in the statement, because they mean that they can perform the constructions of plane Euclidean geometry with their rods. In this connection the individual rods always represent the same distance, independently of their position.
Let us consider now a second two−dimensional existence, but this time on a spherical surface instead of on a plane. The flat beings with their measuring−rods and other objects fit exactly on this surface and they are unable to leave it. Their whole universe of observation extends exclusively over the surface of the sphere. Are these beings able to regard the geometry of their universe as being plane geometry and their rods withal as the realisation of " distance " ? They cannot do this. For if they attempt to realise a straight line, they will obtain a curve, which we " three−dimensional beings " designate as a great circle, i.e. a self−contained line of definite finite length, which can be measured up by means of a measuring−rod. Similarly, this universe has a finite area that can be compared with the area, of a square constructed with rods. The great charm resulting from this consideration lies in the recognition of the fact that the universe of these beings is finile and yet has no limits.
But the spherical−surface beings do not need to go on a world−tour in order to perceive that they are not living in a Euclidean universe. They can convince themselves of this on every part of their " world," provided they do not use to small a piece of it. Starting from a point, they draw " straight lines " (arcs of circles as judged in three dimensional space) of equal length in all directions. They will call the line joining the free ends of these lines a " circle." For a plane surface, the ratio of the circumference of a circle to its diameter, both lengths being measured with the same rod, is, according to Euclidean geometry of the plane, equal to a constant value ¼, which is independent of the diameter of the circle. On their spherical surface our flat beings would find for this ratio the value

i.e. a smaller value than ¼, the difference being the more considerable, the greater is the radius of the circle in comparison with the radius R of the " world−sphere." By means of this relation the spherical beings can determine the radius of their universe (" world "), even when only a relatively small part of their worldsphere is available for their measurements. But if this part is very small indeed, they will no longer be able to demonstrate that they are on a spherical " world " and not on a Euclidean plane, for a small part of a spherical surface differs only slightly from a piece of a plane of the same size.
Thus if the spherical surface beings are living on a planet of which the solar system occupies only a negligibly small part of the spherical universe, they have no means of determining whether they are living in a finite or in an infinite universe, because the " piece of universe " to which they have access is in both cases practically plane, or Euclidean. It follows directly from this discussion, that for our sphere−beings the circumference of a circle first increases with the radius until the " circumference of the universe " is reached, and that it thenceforward gradually decreases to zero for still further increasing values of the radius. During this process the area of the circle continues to increase more and more, until finally it becomes equal to the total area of the whole " world−sphere."
Perhaps the reader will wonder why we have placed our " beings " on a sphere rather than on another closed surface. But this choice has its justification in the fact that, of all closed surfaces, the sphere is unique in possessing the property that all points on it are equivalent. I admit that the ratio of the circumference c of a circle to its radius r depends on r, but for a given value of r it is the same for all points of the " worldsphere "; in other words, the " world−sphere " is a " surface of constant curvature."
To this two−dimensional sphere−universe there is a three−dimensional analogy, namely, the three−dimensional spherical space which was discovered by Riemann. its points are likewise all equivalent. It possesses a finite volume, which is determined by its "radius" (2¼2R3). Is it possible to imagine a spherical space? To imagine a space means nothing else than that we imagine an epitome of our " space " experience, i.e. of experience that we can have in the movement of " rigid " bodies. In this sense we can imagine a spherical space.
Suppose we draw lines or stretch strings in all directions from a point, and mark off from each of these the distance r with a measuring−rod. All the free end−points of these lengths lie on a spherical surface. We can specially measure up the area (F) of this surface by means of a square made up of measuring−rods. If the universe is Euclidean, then F = 4¼R2 ; if it is spherical, then F is always less than 4¼R2. With increasing values of r, F increases from zero up to a maximum value which is determined by the " world−radius," but for still further increasing values of r, the area gradually diminishes to zero. At first, the straight lines which radiate from the starting point diverge farther and farther from one another, but later they approach each other, and finally they run together again at a "counter−point" to the starting point. Under such conditions they have traversed the whole spherical space. It is easily seen that the three−dimensional spherical space is quite analogous to the two−dimensional spherical surface. It is finite (i.e. of finite volume), and has no bounds.
It may be mentioned that there is yet another kind of curved space: " elliptical space." It can be regarded as a curved space in which the two " counter−points " are identical (indistinguishable from each other). An elliptical universe can thus be considered to some extent as a curved universe possessing central symmetry.
It follows from what has been said, that closed spaces without limits are conceivable. From amongst these, the spherical space (and the elliptical) excels in its simplicity, since all points on it are equivalent. As a result of this discussion, a most interesting question arises for astronomers and physicists, and that is whether the universe in which we live is infinite, or whether it is finite in the manner of the spherical universe. Our experience is far from being sufficient to enable us to answer this question. But the general theory of relativity permits of our answering it with a moduate degree of certainty, and in this connection the difficulty mentioned in Section 30 finds its solution.
Next: The Structure of Space According to the General Theory of RelativityAccording to the general theory of relativity, the geometrical properties of space are not independent, but they are determined by matter. Thus we can draw conclusions about the geometrical structure of the universe only if we base our considerations on the state of the matter as being something that is known. We know from experience that, for a suitably chosen co−ordinate system, the velocities of the stars are small as compared with the velocity of transmission of light. We can thus as a rough approximation arrive at a conclusion as to the nature of the universe as a whole, if we treat the matter as being at rest.
We already know from our previous discussion that the behaviour of measuring−rods and clocks is influenced by gravitational fields, i.e. by the distribution of matter. This in itself is sufficient to exclude the possibility of the exact validity of Euclidean geometry in our universe. But it is conceivable that our universe differs only slightly from a Euclidean one, and this notion seems all the more probable, since calculations show that the metrics of surrounding space is influenced only to an exceedingly small extent by masses even of the magnitude of our sun. We might imagine that, as regards geometry, our universe behaves analogously to a surface which is irregularly curved in its individual parts, but which nowhere departs appreciably from a plane: something like the rippled surface of a lake. Such a universe might fittingly be called a quasi−Euclidean universe. As regards its space it would be infinite. But calculation shows that in a quasi−Euclidean universe the average density of matter would necessarily be nil. Thus such a universe could not be inhabited by matter everywhere ; it would present to us that unsatisfactory picture which we portrayed in Section 30.
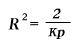
If we are to have in the universe an average density of matter which differs from zero, however small may be that difference, then the universe cannot be quasi−Euclidean. On the contrary, the results of calculation indicate that if matter be distributed uniformly, the universe would necessarily be spherical (or elliptical). Since in reality the detailed distribution of matter is not uniform, the real universe will deviate in individual parts from the spherical, i.e. the universe will be quasi−spherical. But it will be necessarily finite. In fact, the theory supplies us with a simple connection 1) between the space−expanse of the universe and the average density of matter in it.
Footnotes1) For the radius R of the universe we obtain the equation
The use of the C.G.S. system in this equation gives 2/k = 1.08.1027; p is the average density of the matter and k is a constant connected with the Newtonian constant of gravitation. Appendix I: Simple Derivation of the Lorentz Transformation
Describe what you're looking for in as much detail as you'd like.
Our AI reads your request and finds the best matching books for you.
Popular searches:
Join 2 million readers and get unlimited free ebooks