
This chapter describes some basic concepts which you have seen in earlier grades and lays the foundation for the remainder of this book. You should feel confident with the content in this chapter, before moving on with the rest of the book.
You can try out your skills on exercises in this chapter and ask your teacher for more questions just like them. You can also try to make up your own questions, solve them and try them out on your classmates to see if you get the same answers.
Practice is the only way to get good at maths!
A number is a way to represent quantity. Numbers are not something that you can touch or hold, because they are not physical. But you can touch three apples, three pencils, three books. You can never just touch three, you can only touch three of something. However, you do not need to see three apples in front of you to know that if you take one apple away, there will be two apples left. You can just think about it. That is your brain representing the apples in numbers and then performing arithmetic on them.
A number represents quantity because we can look at the world around us and quantify it using numbers. How many minutes? How many kilometers? How many apples? How much money? How much medicine? These are all questions which can only be answered using numbers to tell us “how much” of something we want to measure.
A number can be written in many different ways and it is always best to choose the most appropriate way of writing the number. For example, “a half” may be spoken aloud or written in words, but that makes mathematics very difficult and also means that only people who speak the same language as you can understand what you mean. A better way of writing “a half” is as a fraction
or as a decimal number 0,5. It is still the same number, no matter which way you write it.
In high school, all the numbers which you will see are called real numbers and mathematicians use the symbol R to represent the set of all real numbers, which simply means all of the real numbers. Some of these real numbers can be written in ways that others cannot. Different types of numbers are described in detail in Section 1.12.
A set is a group of objects with a well-defined criterion for membership. For example, the criterion for belonging to a set of apples, is that the object must be an apple. The set of apples can then be divided into red apples and green apples, but they are all still apples. All the red apples form another set which is a sub-set of the set of apples. A sub-set is part of a set. All the green apples form another sub-set.
Now we come to the idea of a union, which is used to combine things. The symbol for union is ∪. Here, we use it to combine two or more intervals. For example, if x is a real number such that 1 < x ≤ 3 or 6 ≤ x < 10, then the set of all the possible x values is:
where the ∪ sign means the union (or combination) of the two intervals. We use the set and interval notation and the symbols described because it is easier than having to write everything out in words.
The simplest thing that can be done with numbers is adding, subtracting, multiplying or dividing them. When two numbers are added, subtracted, multiplied or divided, you are performing arithmetic [1]. These four basic operations can be performed on any two real numbers.
Mathematics as a language uses special notation to write things down. So instead of:
mathematicians write
In earlier grades, place holders were used to indicate missing numbers in an equation.

However, place holders only work well for simple equations. For more advanced mathematical workings, letters are usually used to represent numbers.

These letters are referred to as variables, since they can take on any value depending on what is required. For example, x = 1 in Equation 5, but x = 26 in 2 + x = 28.
A constant has a fixed value. The number 1 is a constant. The speed of light in a vacuum is also a constant which has been defined to be exactly 299 792 458 m · s – 1(read metres per second). The speed of light is a big number and it takes up space to always write down the entire number. Therefore, letters are also used to represent some constants. In the case of the speed of light, it is accepted that the letter c represents the speed of light. Such constants represented by letters occur most often in physics and chemistry.
Additionally, letters can be used to describe a situation mathematically. For example, the following equation
can be used to describe the situation of finding how much change can be expected for buying an item. In this equation, y represents the price of the item you are buying, x represents the amount of change you should get back and z is the amount of money given to the cashier. So, if the price is R10 and you gave the cashier R15, then write R15 instead of z and R10 instead of y and the change is then x .
We will learn how to “solve” this equation towards the end of this chapter.
Addition ( + ) and subtraction ( – ) are the most basic operations between numbers but they are very closely related to each other. You can think of subtracting as being the opposite of adding since adding a number and then subtracting the same number will not change what you started with. For example, if we start with a and add b , then subtract b , we will just get back to a again:

If we look at a number line, then addition means that we move to the right and subtraction means that we move to the left.
The order in which numbers are added does not matter, but the order in which numbers are subtracted does matter. This means that:

The sign ≠ means “is not equal to”. For example, 2 + 3 = 5 and 3 + 2 = 5, but 5 – 3 = 2 and 3 – 5 = – 2. – 2 is a negative number, which is explained in detail in "Negative Numbers".
The fact that a + b = b + a , is known as the commutative property for addition.
Just like addition and subtraction, multiplication ( × , · ) and division (÷, /) are opposites of each other. Multiplying by a number and then dividing by the same number gets us back to the start again:

Sometimes you will see a multiplication of letters as a dot or without any symbol. Don't worry, its exactly the same thing. Mathematicians are efficient and like to write things in the shortest, neatest way possible.

It is usually neater to write known numbers to the left, and letters to the right. So although 4x and x4 are the same thing, it looks better to write 4x . In this case, the “4” is a constant that is referred to as the coefficient of x .
The fact that a b = b a is known as the commutative property of multiplication. Therefore, both addition and multiplication are described as commutative operations.
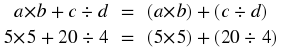
Brackets[2] in mathematics are used to show the order in which you must do things. This is important as you can get different answers depending on the order in which you do things. For example:
whereas
If there are no brackets, you should always do multiplications and divisions first and then additions and subtractions[3]. You can always put your own brackets into equations using this rule to make things easier for yourself, for example:

If you see a multiplication outside a bracket like this

then it means you have to multiply each part inside the bracket by the number outside

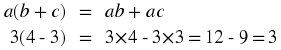
unless you can simplify everything inside the bracket into a single term. In fact, in the above example, it would have been smarter to have done this
It can happen with letters too
The fact that a(b + c) = a b + a c is known as the distributive property.
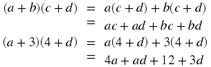
If there are two brackets multiplied by each other, then you can do it one step at a time:

Negative numbers can be very confusing to begin with, but there is nothing to be afraid of. The numbers that are used most often are greater than zero. These numbers are known as positive numbers.
A negative number is a number that is less than zero. So, if we were to take a positive number a and subtract it from zero, the answer would be the negative of a .
On a number line, a negative number appears to the left of zero and a positive number appears to the right of zero.
Figure 1.

When you are adding a negative number, it is the same as subtracting that number if it were positive. Likewise, if you subtract a negative number, it is the same as adding the number if it were positive. Numbers are either positive or negative and we call this their sign. A positive number has a positive sign ( + ) and a negative number has a negative sign ( – ).
Subtraction is actually the same as adding a negative number.
In this example, a and b are positive numbers, but – b is a negative number

So, this means that subtraction is simply a short-cut for adding a negative number and instead of writing a + ( – b), we write a – b . This also means that – b + a is the same as a – b . Now, which do you find easier to work out?
Most people find that the first way is a bit more difficult to work out than the second way. For example, most people find 12 – 3 a lot easier to work out than – 3 + 12, even though they are the same thing. So a – b , which looks neater and requires less writing is the accepted way of writing subtractions.
Table 1 shows how to calculate the sign of the answer when you multiply two numbers together. The first column shows the sign of the first number, the second column gives the sign of the second number and the third column shows what sign the answer will be.
| a | b | a × b or a÷b |
| + | + | + |
| + | – | – |
| – | + | – |
| – | – | + |
So multiplying or dividing a negative number by a positive number always gives you a negative number, whereas multiplying or dividing numbers which have the same sign always gives a positive number. For example, 2 × 3 = 6 and – 2 × – 3 = 6, but – 2 × 3 = – 6 and 2 × – 3 = – 6.
Adding numbers works slightly differently (see Table 2). The first column shows the sign of the first number, the second column gives the sign of the second number and the third column shows what sign the answer will be.
| a | b | a + b |
| + | + | + |
| + | – | ? |
| – |
+
<
Find Your Next Great ReadDescribe what you're looking for in as much detail as you'd like.
Showing results for ""
Popular searches: Create a Free Account to DownloadJoin 2 million readers and get unlimited free ebooks |