
TABLES
TABLE I
THE PRINCIPAL ELEMENTS OF THE SOLAR SYSTEM


THE PRINCIPAL ELEMENTS OF THE SOLAR SYSTEM
(Continued)

![]()
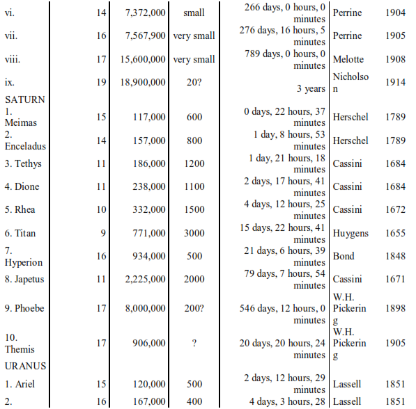
TABLE II
THE SATELLITES OF THE SOLAR SYSTEM



TABLE III
THE TWENTY BRIGHTEST STARS IN THE HEAVENS


TABLE IV
A LIST OF THE PRINCIPAL CONSTELLATIONS 1. VISIBLE
IN 40° NORTH LATITUDE
![]()


2. INVISIBLE IN 40° NORTH LATITUDE


TABLE V
PRONUNCIATIONS AND MEANINGS OF NAMES OF STARS AND CONSTELLATIONS


2. CONSTELLATIONS



Reads:
18
Pages:
284
Published:
May 2025
This comprehensive volume contains over 1,300 multiple-choice questions, each meticulously answered and enriched with detailed feedback. What makes it stand o...
Formats: PDF, Epub, Kindle, TXT
Describe what you're looking for in as much detail as you'd like.
Our AI reads your request and finds the best matching books for you.
Popular searches:
Join 2 million readers and get unlimited free ebooks